Stanovení ceny dluhopisu

Podle fundamentálního analytického přístupu je „správná cena“ dluhopisu (jeho tzv. vnitřní hodnota) dána jako současná hodnota všech budoucích příjmů z dluhopisu. Dluhopisy s fixním výnosem (plain vanilla bonds) jsou nejběžnějším a nejstarším druhem dluhopisů. Jeho nákupem investor získává právo na pravidelnou výplatu pevně stanové kuponové platby a na splacení jmenovité hodnoty na konci doby splatnosti dluhopisu.

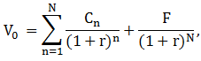
Vnitřní hodnota (V0) dluhopisu s fixním výnosem odpovídá vztahu:

kde Cn představuje pevnou kuponovou platbu v n-tém roce životnosti dluhopisu, F je jmenovitá hodnota dluhopisu vyplacená v době jeho splatnosti, N je počet let do splatnosti dluhopisu a r je tržní úroková míra neboli požadovaná výnosová míra.

Dluhopisy s nulovým kuponem (zero coupon bonds) jsou dluhopisy, ze kterých nejsou vypláceny po dobu své životnosti kuponové platby, a jediným příjmem investora z dluhopisu je vyplacení jmenovité hodnoty v době splatnosti dluhopisu. Proto jsou tyto dluhopisy emitovány s diskontem, což znamená, že emisní cena dluhopisu je nižší než jeho jmenovitá hodnota.

Z výše uvedeného vztahu lze snadno odvodit hodnotu dluhopisu s nulovým kuponem. Protože jediným příjmem z dluhopisu s nulovým kuponem je jmenovitá hodnota vyplacená na konci životnosti dluhopisu, pro jeho vnitřní hodnotu platí:

kde symboly odpovídají výše uvedenému popisu.

Komentáře k článku

Komentář



Vlož komentář